Recentemente, uma equipe de pesquisa do Hospital da China Ocidental da Universidade de Sichuan conduziu uma análise aprofundada dos dados do National Health and Nutrition Examination Survey (NHANES) de 2009 a 2018, envolvendo 19.280 participantes. Os resultados mostraram que os carotenóides têm um efeito significativo na desaceleração da aceleração do envelhecimento fenotípico, com β-caroteno e β-criptoxantina sendo particularmente notáveis. Isso indica que esses pigmentos naturais têm grande potencial no campo do antienvelhecimento.

Os carotenóides são pigmentos naturais solúveis em gordura amplamente encontrados em algas, fungos, bactérias e plantas. Mais de 700 carotenóides naturais foram identificados. Com base em sua estrutura química, os carotenóides podem ser divididos em duas categorias: uma que contém apenas elementos de carbono e hidrogênio sem oxigênio (como α-caroteno, β-caroteno e licopeno), e outro que consiste em seus derivados oxidados contendo grupos funcionais de oxigênio como grupos hidroxila, ceto, carboxila e metoxi (Como luteína e zeaxantina). Entre os carotenóides que circulam no sangue humano, seis tipos-α-caroteno, β-caroteno, β-criptoxantina, licopeno, luteína e zeaxantina-representam mais de 95%.
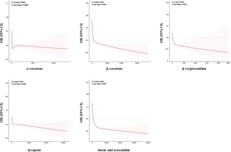
Um estudo baseado nos dados do National Health and Nutrition Examination Survey (NHANES) explorou a relação entre a ingestão de carotenóides na dieta e o processo de envelhecimento biológico. A pesquisa obteve níveis de ingestão de carotenóides analisando dados dietéticos e avaliou a idade biológica usando os métodos PhenoAge e Klemera-Doubal (KDM).
Os resultados mostraram que níveis mais altos de carotenóides na dieta foram significativamente associados a uma taxa mais lenta de envelhecimento biológico, sugerindo que os carotenóides têm potenciais efeitos antienvelhecimento. Uma análise posterior revelou uma relação não linear significativa entre os níveis de carotenóides e a aceleração da idade biológica, indicando que seu efeito protetor é aumentado em níveis de ingestão mais elevados.

Os resultados da pesquisa indicam que o β-caroteno e a β-criptoxantina têm efeitos particularmente significativos no antienvelhecimento. Além disso, os efeitos antienvelhecimento dos carotenóides variam entre as diferentes populações. Especificamente, indivíduos mais jovens (com menos de 60 anos), mulheres, pacientes com hipertensão e pacientes com diabetes se beneficiam mais significativamente de altos níveis de ingestão de carotenóides, o que ajuda a retardar o processo de envelhecimento biológico.

O envelhecimento é um processo biológico complexo caracterizado por um declínio gradual nas funções fisiológicas e uma maior suscetibilidade a doenças. Estresse oxidativo e inflamação são fatores-chave que impulsionam o processo de envelhecimento. Os carotenóides, devido à sua estrutura molecular contendo numerosas ligações duplas conjugadas, possuem fortes capacidades antioxidantes. Eles podem efetivamente neutralizar os radicais livres e reduzir a inflamação, eliminando assim espécies reativas de oxigênio (ROS), como radicais peróxido e oxigênio singlete no corpo, desempenhando um papel crucial na promoção do envelhecimento saudável.
O potencial antienvelhecimento dos carotenóides baseia-se principalmente em sua capacidade de promover a translocação do fator nuclear eritróide 2 relacionado ao fator 2 (Nrf2) para o cNúcleo ell. Uma vez que o Nrf2 se transloca para o núcleo, ele inicia a transcrição de enzimas antioxidantes e desintoxicantes. Além disso, conforme as células se dividem, seus telômeros encurtam gradualmente até que ocorra a morte celular, e os ROS e a inflamação aceleram o encurtamento dos telômeros. Foi relatado que uma alta ingestão dietética de β-caroteno está associada a um comprimento mais longo dos telômeros.
Os carotenóides, devido ao seu forte poder de coloração e tons estáveis, são amplamente utilizados em vários campos, como corantes para bebidas, doces e outros alimentos, bem como aditivos nutricionais em alimentos infantis. Os carotenóides não só possuem atividade de vitamina A, mas também contribuem para a saúde cardiovascular e da pele. Eles desempenham um papel importante na regulação fisiológica e prevenção de doenças no corpo humano.
Os carotenóides ajudam a proteger a saúde cardiovascular inibindo a oxidação da lipoproteína de baixa densidade (LDL), prevenindo o desenvolvimento da aterosclerose e protegendo as células vasculares dos danos oxidativos, mantendo assim a função vascular. Entre estes, o licopeno e a luteína têm benefícios significativos a este respeito. Uma meta-análise descobriu que os indivíduos com ingestão alimentar de licopeno tinham um risco 17% reduzido de doença cardiovascular. O efeito da luteína é 15 vezes o do licopeno e 10 vezes o do β-caroteno, prevenindo efetivamente a peroxidação lipídica.
O fotoenvelhecimento é causado principalmente por fatores ambientais e se manifesta como diminuição da elasticidade da pele, pigmentação anormal, secura e coceira. A radiação ultravioleta (UV) é um gatilho chave, acelerando o envelhecimento da pele, promovendo a geração de espécies reativas de oxigênio (ROS), que interrompem as funções de proteção e reparo da pele. Estudos mostraram que a suplementação com carotenóides pode prevenir efetivamente a formação de ROS induzida por UV. Por exemplo, a astaxantina melhora a saúde da pele e exerce efeitos anti-fotoenvelhecimento ao inibir o dano oxidativo. Pode suprimir a síntese de melanina, reduzir a pigmentação, aumentar a umidade da pele e melhorar a pele seca. A pesquisa indica que a ingestão oral de astaxantina pode reduzir manchas e rugas da idade e melhorar a hidratação e elasticidade da pele. Além disso, a astaxantina pode diminuir os danos à pele induzidos por UV, reduzir a perda de umidade e erupções cutâneas e proteger a saúde da pele.
A ingestão dietética de carotenóides é considerada uma estratégia fundamental para prevenir a doença hepática gordurosa não alcoólica (NAFLD). O licopeno exibe propriedades hepatoprotetoras contra várias doenças hepáticas, incluindo doença hepática gordurosa alcoólica e não alcoólica. Os efeitos protetores do licopeno no fígado decorrem principalmente de suas fortes capacidades antioxidantes, que efetivamente inibem o dano celular induzido por espécies reativas de oxigênio (ROS). Além disso, estudos indicaram que o β-caroteno, um dos carotenóides mais abundantes no fígado, demonstra efeitos hepatoprotetores significativos. O aumento da ingestão alimentar de β-caroteno pode reduzir significativamente o risco de esteatose hepática e danos às células hepáticas mediadas por radicais livres.
A degeneração macular relacionada à idade (DMRI) é uma doença comum que prejudica a visão, causada principalmente por danos degenerativos aos fotorreceptores em indivíduos maduros. Tornou-se a principal causa de cegueira em pessoas com mais de 65 anos. Prevê-se que em 2040, a prevalência global da DMRI aumentará para quase 288 milhões de pessoas [6].
As primeiras manifestações da DMRI incluem diminuição da visão, redução da sensibilidade ao contraste e diminuição da acuidade visual, caracterizada por um declínio gradual da visão funcional à medida que a condição progride. Os carotenóides desempenham um papel crucial na manutenção da saúde e função da região macular. Entre os vários carotenóides, a luteína e a zeaxantina cruzam a barreira sangue-retinal e se acumulam na retina para formar o pigmento macular, um processo essencial para a proteção macular.
Além disso, acredita-se que a astaxantina, um membro da família da luteína encontrada principalmente em organismos marinhos, tenha potenciais efeitos protetores contra danos e disfunção retiniana induzidos pela luz. Devido à sua estrutura molecular única, a astaxantina pode atravessar a membrana de bicamada celular, eliminando efetivamente espécies reativas de oxigênio nas camadas interna e externa das células, proporcionando assim um mecanismo de defesa contra o estresse oxidativo para a retina.
Referência:
[1] https://link.springer.com/article/10.1007/s10522-024-10160-4
[2] https://www.mdpi.com/1422-0067/24/20/15199
[3] https://pubmed.ncbi.nlm.nih.gov/28318092/
[4] https://pubmed.ncbi.nlm.nih.gov/31605782/
[5] https://pubmed.ncbi.nlm.nih.gov/31904420/
[6] https:// pUbmed.ncbi.nlm.nih.gov/34829613/
Fonte da imagem: pixabay, links: https://pixabay.com/zh/photos/smoothie-fruit-vegetables-1578240/